2024–2025年度全球*报告曝光!你正在被多少人无情碾压?速查你的残酷定位!
2024–2025年度全球*报告新鲜出炉,中国考生的表现呈现鲜明特点——听读能力追平全球水平,写作口语却成“拖后腿”重灾区。2024–2025年度全球*报告数据背后,藏着雅思的关键密码。
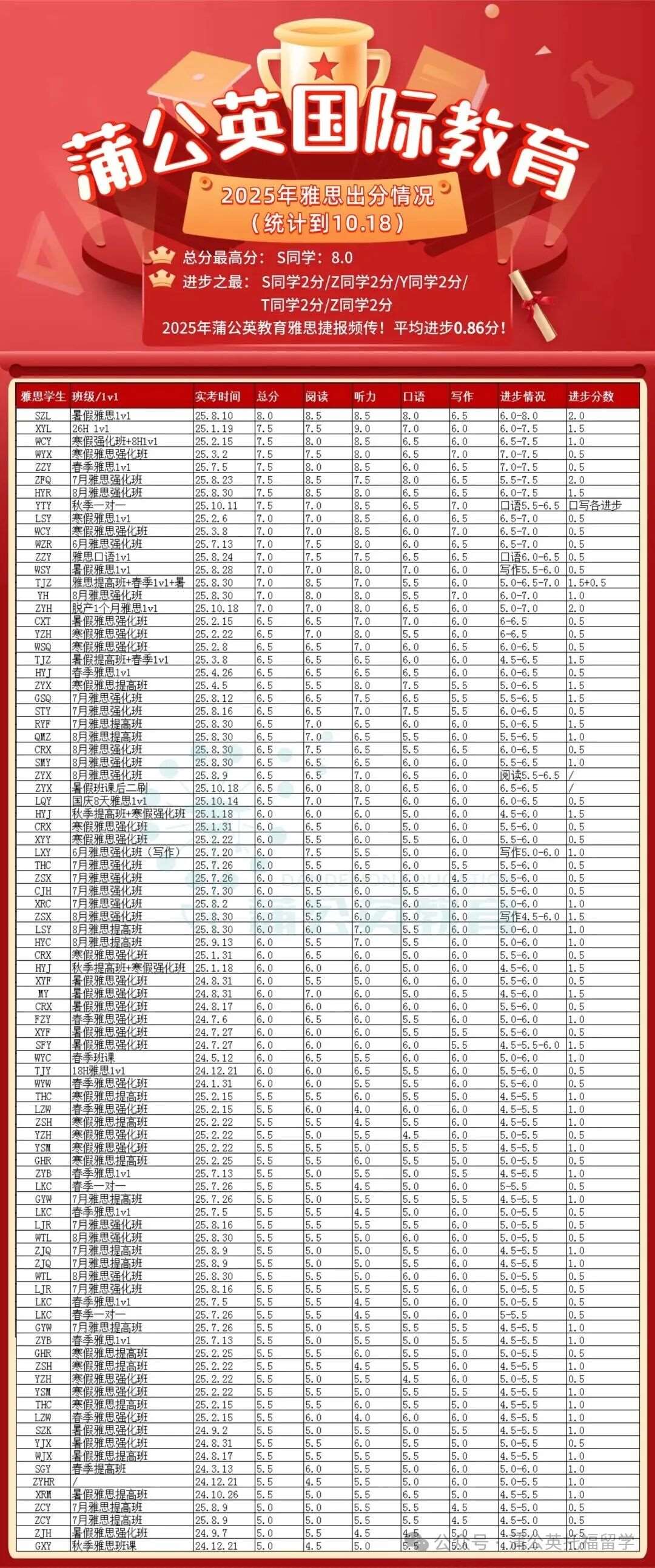
【2024–2025年度全球*报告】
先看核心数据对比:
全球总分平均6.4,中国大陆为6.0,这0.4的差距几乎全来自输出项。听力阅读中国均分6.3、6.4,与全球6.7、6.6基本持平;但写作全球5.9,中国仅5.5,口语全球6.2,中国5.7,差距一目了然。
在全球排名中:

中国大陆与越南同列第五,总分6.0,落后新加坡(7.4)、德国(7.1)等国家较多。考官直言,亚洲考生的差距在“语言输出文化”:新加坡学生常用英语交流,而中国考生更擅长输入型学习,导致口语写作“自然度不足”。
+v:P15502147668
母语者也未必能轻松拿高分。加拿大近期将雅思*纳入工签申请要求后,不少英、美、澳考生前来应考,因表达偏口语化、缺乏书面逻辑,很多人仅得7-8分。这印证了雅思的核心考察点——正式场合下清晰逻辑的表达能力,而非口音或母语身份。
中国考生的分数分布更说明问题:60%集中在6.0-6.5分段,8分以上不足1%。考官透露,6.5到7分的跨越并不难:作文减少错误、衔接自然即可,口语则需提升节奏感与自信。
从《2024–2025年度全球*报告》看雅思方向已很明确:听力练“预测+同义替换”,阅读强化快读技巧,写作先保准确再求复杂,口语多做改写与延伸。对中国考生而言,雅思的关键,就藏在“清晰、准确、自然”这六个字里。
为什么蒲公英能帮你?答案藏在我们不搞虚的教学细节里:
↑长按扫码,添加老师↑
+v:P15502147668
1V1定制专属备考计划

基础如何?备考剩多久?目标分差多少?听力反应慢还是写作缺辩证思维?这些问题全摸清,再量身规划出分方案。我们懂26fall考生“时间=分数”的紧迫,你的每一分钟都被高效利用,杜绝无效刷题和重复劳动。

雅思考生要的不是“炫技”,而是“拿分技巧”——长难句怎么快拆?写作逻辑怎么补?口语如何有深度?这些痛点都能帮你精准破解。耐心盯进度、用心改作文、细心抠口语,我们用责任心陪你熬过冲刺的日夜。
✦
•
✦
✦
左右滑动,查看更多
✦

15年深耕雅思,我们靠口碑和出分数据立足,“多对一”团队的全链条支持:课前帮你明确方向,课中聚焦薄弱项突破,课后盯复习、解疑点,连心态波动都有老师及时疏导。从预习到测评,每个环节都有人托举,让你备考不慌。


蒲公英双11狂欢季持续到11月30日,千万别错过这个雅思早鸟价福利!
雅思考生专属福利:现在咨询,免费获取1对1雅思水平诊断+定制出分方案,抢占寒假黄金备考席位,让我们帮你把“拿分难”变成“一次过”!
上海蒲公英教育
👇扫码添加资深教研老师👇
个性化备考规划
+vx:P15502147668





