雅思分数卡在6-6.5?圣诞/寒假雅思强化班,精准破7!上海蒲公英线下/线上同步抢位!
11/11
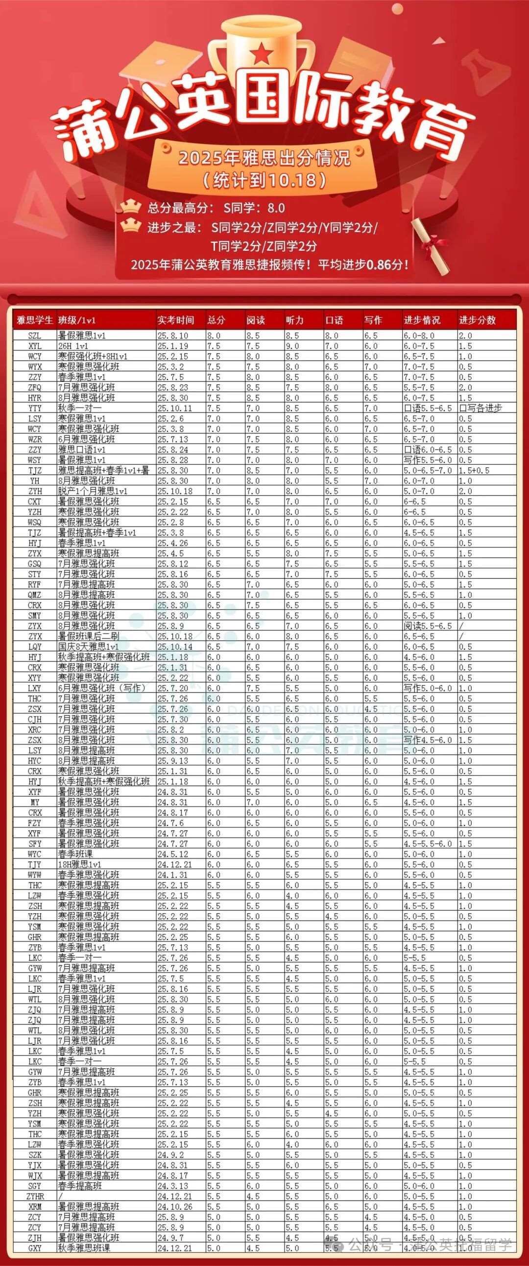
上海蒲公英雅思冲刺班,帮你解决6.5卡分瓶颈!
👇👇👇
【雅思强化班】
扫码咨询老师
vx:15502124668
了解更多课程相关内容


主讲老师:10年+教龄,吃透雅思出题套路,能精准预判“哪些地方最容易丢分”;
线下课程:环境舒适,小班授课(4-6人),互动高频;
包含“雅思7分核心词汇表”“阅读同义替换大全”“写作高分句型库”“口语话题素材”;
每周1次全真模考,严格按照考试时间;
备考期间,定期开展“心理辅导课”,帮你缓解压力,调整心态;




👇👇👇
【雅思强化班】
扫码咨询老师
vx:15502124668
了解更多雅思课程相关内容
上海蒲公英教育雅思强化班
小蒲老师VX:yiyima83
手机号:15502124668

