【上海线下雅思培训辅导班】2周雅思突破2分?!上海徐汇「魔鬼雅思集训营」震撼开营,雅思7.0高分就现在!
渴望短期雅思的你,是否还在为学习环境不佳而焦虑?
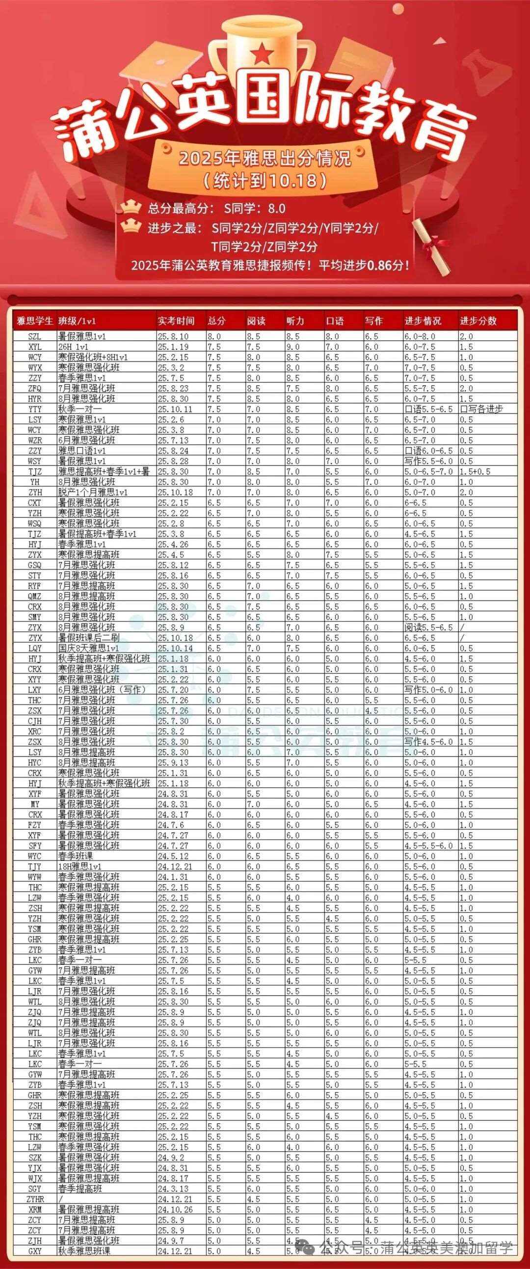
蒲公英教育上海线下雅思培训辅导班寒假班来啦~
针对冲5.5-6.5分的友友们
开设两种班型
雅思基础班&雅思提高班
出分是雅思机构的核心竞争力,更是学员选择与信任的根本!
蒲公英总分*高分:S同学:8.0
进步之最:S……/Z……/Y……/T……/2……
2025年蒲公英教育雅思捷报频传!

为什么选择蒲公英15天雅思半封闭集训营
🔥【15天颠覆传统备考!】告别3-6个月低效拉锯战
传统雅思备考动辄3-6个月,拖延症+碎片成难题!15天沉浸式高强度训练,精准锁定核心考点,彻底打破低效循环。
📈 公式实证:1.5-2分涨分肉眼可见!
蒲公英学员数据显示:科学拆分雅思听说读写模块,每日专项突破 + 高频雅思考试模考 + 错题深度复盘,*高雅思2分!
⏰ 寒假超车黄金期:15天锁死目标分!
趁寒假避开学业干扰,集中15天冲刺备考,开学前稳拿雅思理想分数,抢占留学申请先机!
✨ 特别针对体制内学生:
中考 / 高考生可参加雅思基础班 ——90%知识点与高考长难句语法重合,在提升英语能力的同时,为高考英语夯实基础!
蒲公英上海线下雅思培训辅导班一班型
接下来和大家分别介绍一下上海线下雅思培训辅导班:蒲公英雅思基础班与雅思提高班的区别:
雅思半封闭营之基础班
适合学生:基础较为薄弱,初高中词汇,阅读听力<4.5分

课程说明
打基础为主,助力学生强化英语语言综合能力,重点提升雅思听说读写基础技能
授课特色
注重基础技能强化,采用循序渐进的方式,结合个性化辅导和情境模拟
授课语言
中英文双语
课时安排
60H正课(理论讲解)+90H辅练课
课后学习&服务
每日科学制定学习计划,精准明确当日目标
每日开展真题训练讲解,进行个性化答疑讨论,实时跟踪学生进度
每日全面总结学习收获,规范填写学习日志
学习效果清晰直观可见,每日具体量化呈现
雅思半封闭营之提高班
适合学生:阅听双4.5-5.5分

课程说明
帮助学生系统拆解雅思各类题型,进一步实现*跃升
授课特色
注重技巧提升,采用循序渐进的方式,结合个性化辅导和情境模拟
授课语言
中英文双语
课时安排
60H正课(理论讲解)+90H辅练课、结班后模考答疑批改40H
课后学习&服务
每日科学制定学习计划,精准明确当日目标
每日开展真题训练讲解,进行个性化答疑讨论,实时跟踪学生进度
每日全面总结学习收获,规范填写学习日志
学习效果清晰直观可见,每日具体量化呈现
蒲公英上海线下雅思培训辅导班—师资介绍



仅展示部分
蒲公英上海线下雅思培训辅导班—配套服务
超精细化的词汇服务体系:包括做计划,复习,情绪价值陪伴,和良好的校风。另外,课后作业监督检查,结班后5天的模考答疑批改服务。服务水准远超同行。
每天8:20-21:00,每天4小时正课,6小时辅练。
辅练有专门班主任查单词和作业,以及学术助教答疑和陪练口语写作。
结班后有5套免费模考,以及3次口语写作陪练和批改。

课后服务不断

TEL|13162172398(同V)
蒲公英机构
上海线下雅思培训辅导班火热报名中
名额有限,快来扫码咨询雅思培训班吧