上海雅思培训机构哪家好?沉浸式7.0+,国际牛娃们的优选课!
想趁着这个寒假实现雅思分数的跨越式提升,全面强化英语能力,为日后的留学梦想筑牢根基?上海雅思培训机构哪家好?
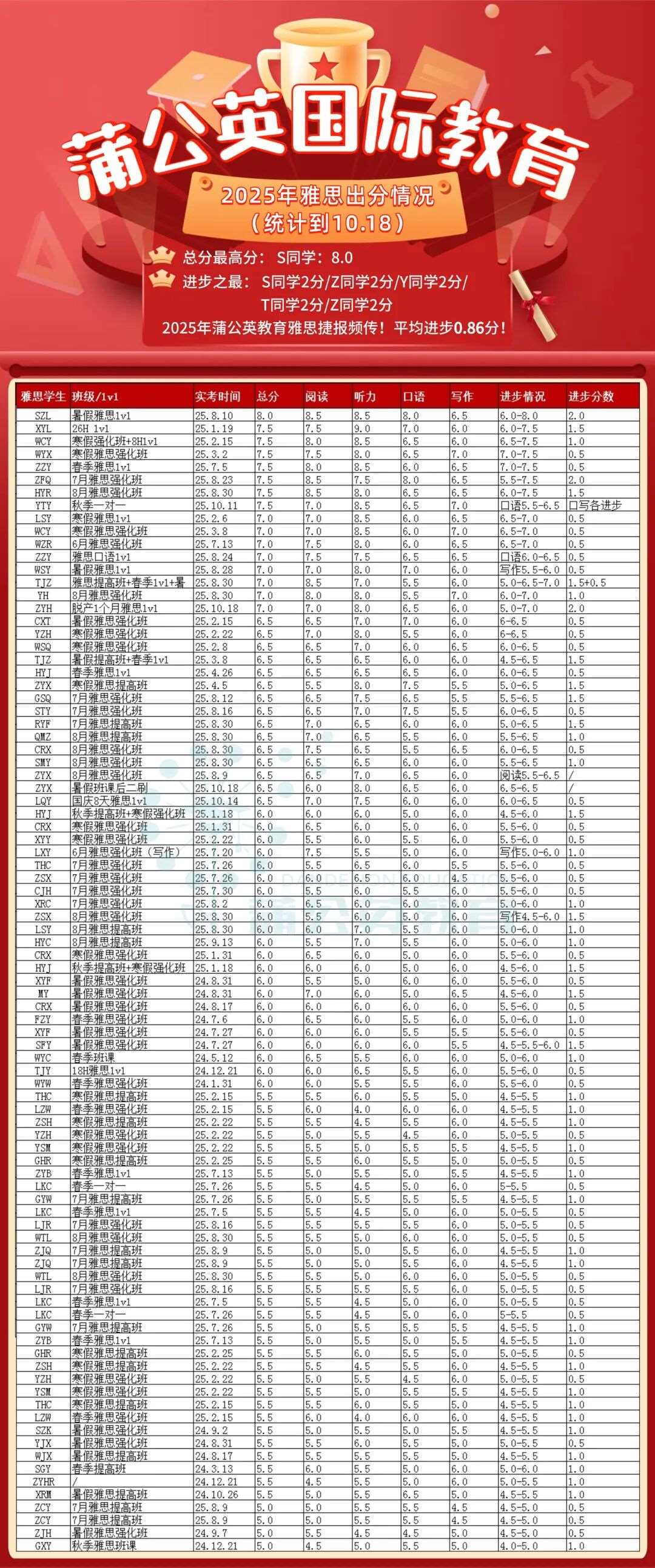
上海蒲公英雅思寒假班集训营:这里有科学系统的课程体系、细致贴心的教学服务,全程助力你在暑假高效备考,轻松冲刺目标分数。
【上海雅思培训机构哪家好】
上海蒲公英教育延续一对一VIP式课后服务体系,采用“诊断-反馈-示范-练习”的闭环模式,全方位保障学习效果:
课堂上,老师将带领学生开展针对性练习与计时训练,针对错题进行深度诊断与细致反馈,直击知识盲区。
课后安排精听、精读、口语及写作等专项训练,引导学生自主完成错题分析,强化对知识点的理解与应用。
结课前,老师会量身定制考前复习方案,助力学生在夯实能力的同时,掌握实用考试策略,从容应对考试。

严格的课后练习与进度跟进:
备考雅思,仅靠课堂学习远远不够,持续的课后练习与及时反馈是关键。我们的精品雅思班实行严格的课后练习制度,老师会在专属学习群内实时跟进练习情况并提供反馈;
结课前还将组织模考评估,精准掌握学员的学习进度与薄弱环节,动态调整学习计划,确保每一位学员的努力都能转化为切实的进步。

+v:P15502147668

多样班型,精准契合你的个性化需求!均采用3-8人小班授课模式,让每位学员都能获得老师的充分关注与针对性指导,学习效果更有保障!
寒假课程通常采用“基础+技巧+模考”的系统训练,针对听力、口语、阅读、写作进行专项突破,尤其适合:
✔ 听力薄弱——精听+速记技巧强化
✔ 口语卡壳——高频题库+实战演练
✔ 阅读速度慢——长难句解析+快速定位
✔ 写作逻辑差——模板优化+高分范文精析
蒲公英雅思师资组
✦
•
✦
✦
左右滑动,查看更多
✦

现在双11狂欢季,千万别错过这个雅思早鸟价福利!

— 蒲公英雅思培训课程—
👇扫码添加资深教研老师👇
个性化备考规划
+vx:P15502147668




