准留学生必读!托福100分相当于雅思几分?托福100分VS雅思7分,哪个更难?附上海蒲公英教育雅思培训班火热招生中
准留学生必读!托福100分相当于雅思几分?托福100分VS雅思7分,哪个更难?
此外,上海蒲公英机构雅思寒假班正在火爆招生中,在2025年的寒假,跟随业内标化大神郭松坡博士团队科学高效的雅思课程,带你轻松冲刺雅思7分+!
【👉蒲公英小助手微信号:13162172398】
以下是对“准留学生必读!托福100分相当于雅思几分?托福100分VS雅思7分,哪个更难?”内容的解读:

我们今天来对比:托福100分相当于雅思几分?托福100分和雅思7分哪个学习难度更高?
留学申请中,非英语母语学生需提交语言*,雅思与托福均获英、美、澳、加等多国院校认可,但也让不少学生在选择时纠结。
ETS 官网曾给出托福和雅思分数对比尺。如下:

基于1153名同时参与两种考试的考生的分数分析,发布了一份详细的总分分数对照表。
一、阅读分数对比参照
托福阅读聚焦学术类文章,素材均源自真实学术资料,难度对标美国大学本科教材,且全程以选择题形式考查,题型相对单一。
而雅思阅读的文章来源更广泛,涵盖国外杂志、学术论文及新闻报道等,题型也更丰富多元 —— 尤其是填空题这类答案难以推测的题型,进一步提升了考试的挑战难度。

二、听力分数对比参照
相比之下,雅思听力内容更贴近日常生活场景,但题目表述常带有 “曲折性”—— 比如选择题中,三个选项的个别关键词可能都会在录音里出现,这无疑增加了准确选择的难度,考生很容易因误判信息对应关系而选错答案。

三、口语分数对比参照
托福口语考试包含4个任务(task),考生需全程对着电脑作答。从第三个任务开始,不仅考察考生的口语能力,还融合了阅读、听力以及理解概括能力的综合评估。
而雅思口语考试则分为3个部分,考生将与考官进行面对面的交流。其中,第一部分主要考察考生的基本表达能力,第二部分要求考生进行独白式的讲述,第三部分则侧重于评估考生的辩证思维能力。

四、写作分数对比参照
托福写作部分包括独立写作和综合写作两大板块。在综合写作中,考生需要结合阅读和听力提供的材料,撰写一篇驳论文。
雅思写作则分为大作文和小作文两部分,话题多偏向于学术性质,对考生的逻辑思维和内容质量提出了较高的要求。

解锁寒假雅思优惠
6-8人小班
10-15年教学经验 雅思老师全职授课
扫码添加蒲公英小助手微信
备注【雅思】
解锁双十一狂欢季优惠立享95折
雅思与托福考试的区别:
1. 考试模式差异
雅思采用 “笔试 + 口试” 的组合形式,托福则为全程机考。考生可根据自身偏好选择 —— 比如更适应真人考官互动、对发音有自信,可倾向雅思;习惯机考操作、偏好高效完成考试,可考虑托福。
2. 备考资源差异
雅思核心备考资料是 “剑桥雅思真题集(剑 1 - 剑 17)”,数量相对有限,且考试预测命中*较低,备考选择较少。托福不仅有丰富的官方在线练习(TPO),题目还存在规律重复,网络上更有大量 “机经”(考试经验总结)和预测资料,备考资源更充足。
3. 费用与报名时间差异
费用上,雅思 A 类考试报名需 2170 元人民币,托福为 2100 元人民币。报名时间上,雅思要求至少在考试前 12 个工作日完成报名;托福报名更灵活,最晚考前 3 天可报,但需额外支付逾期报名费。
4. 考点分布与考试安排差异
考点覆盖上,托福在 45 个城市设有超 120 个考点,雅思在 42 个城市设有超 80 个考点,托福考点更密集。考试安排上,托福是一场考试完成所有科目;雅思则分为笔试和口试两部分,且两部分可能不同天,可能增加跨城市考生的时间成本与安排难度。

选雅思还是托福?
雅思和托福虽同属国际英语能力考试,但留学申请者选择时绝非 “二选一” 的随机决定。二者核心目标高度一致,都是考察考生在实际场景中的语言运用水平,想选到适合自己的,需抓住以下关键:
第*,别搞 “双线备考” 或 “盲目转考”。同时准备两项考试会分散精力、加重负担,还可能因题型逻辑、考察重点不同陷入混乱;若一门考试*不理想,别急着转考另一门,先复盘薄弱环节 —— 比如托福机考的打字速度、雅思口语的真人互动适应度,针对性调整策略,比重新熟悉新考试体系更高效。
第二,院校要求是核心依据。不同国家、院校对两项考试的认可度和分数要求有差异,尤其美国高校对雅思要求常更严苛。以常见标准为例:多数美国院校把托福 100 分(约等于雅思 7 分)设为基础线,但实际录取中,雅思往往要求 7.5 分及以上,比 “等效分数” 高半个梯度,申请美国的考生要重点注意这一点。
第三,结合中国学生备考实际看分数冲刺难度。对多数中国考生来说,系统备考后雅思 7 分较易实现;但若目标是 7.5 + 的高分,托福可能更合适 —— 从国内考生*分布看,托福 100 分以上的人数明显多于雅思 7.5 分以上的人数,说明冲击高分段时,托福对中国学生 “友好度” 相对更高。
最后要提醒的是,无论选雅思还是托福,备考本质都是 “提升英语能力”。与其纠结选哪个考试,不如把备考变成夯实语言基础、锻炼实际运用能力的过程,让自己在学习、生活和未来职场中都能自如用英语。这样,每一份备考付出才能转化为实实在在的能力提升,为留学和长远发展打牢基础。
蒲公英雅思培训辅导课程已备好全面方案,欢迎咨询详情,让我们一同助力你攻克英语难关,迈向留学梦想的新高度!
以上是对“准留学生必读!托福100分相当于雅思几分?托福100分VS雅思7分,哪个更难?”内容的解读。
雅思课程培训辅导,长按扫码
备注“雅思”,在线咨询


郭博士亲自测试规划,需要请加微信预约!
徐汇飞洲校区:徐汇区零陵路899号飞洲国际大厦20楼G座
地铁1/4号线上海体育馆站一号口B1直达

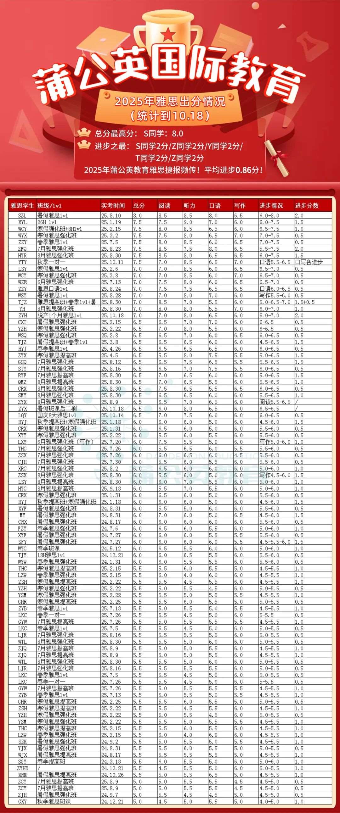
上海蒲公英雅思部分高分学员展示

上海蒲公英雅思课程培训机构招生
以下是蒲公英教育雅思寒假培训班详细安排:
班型设置:
雅思基础班、雅思提高班、雅思强化班、雅思一对一
报名提醒:
课程资源珍贵,每期班课名额有限,先到先得,招满即止!
老学员报名可享额外优惠叠加福利!
如需咨询,欢迎随时私信;也欢迎将课程信息推荐给有需要的家长和同学~

服务:超精细化的词汇服务体系:包括做计划,复习,情绪价值陪伴,和良好的校风。另外,课后作业监督检查,结班后5天的模考答疑批改服务。服务水准远超同行。
服务介绍:
每天8:20-21:00,每天4小时正课,6小时辅练。
辅练有专门班主任查单词和作业,以及学术助教答疑和陪练口语写作。
结班后有5套免费模考,以及3次口语写作陪练和批改。

课后服务不断
蒲公英部分师资介绍



仅展示部分
TEL|13162172398(同V)
托福100分相当于雅思几分?
蒲公英机构
上海线下初高中生雅思寒假班火热报名中
名额有限,快来扫码咨询雅思寒假班吧
