上海雅思培训班推荐!6-8人小班制!蒲公英寒假雅思抢分封闭班!基础→强化无缝衔接,海归硕博老师全天督学,15天能冲雅思7分!
还在为雅思6分卡壳焦虑?英国G5、罗素集团院校7分硬性要求拦住多少申请者!刷遍真题却难提0.5分,自学缺乏方向,大班课没人管,申请季越来越近,难道要错过梦校?
别慌!上海雅思培训班推荐!上海蒲公英寒假雅思抢分封闭班重磅上线:6-8 人精品小班 + 海归硕博老师全天督学,基础→强化无缝衔接,15 天高效冲刺雅思 7 分,帮你打破雅思瓶颈,抢占申请先机!
雅思好*,自然令人心动~
↓↓
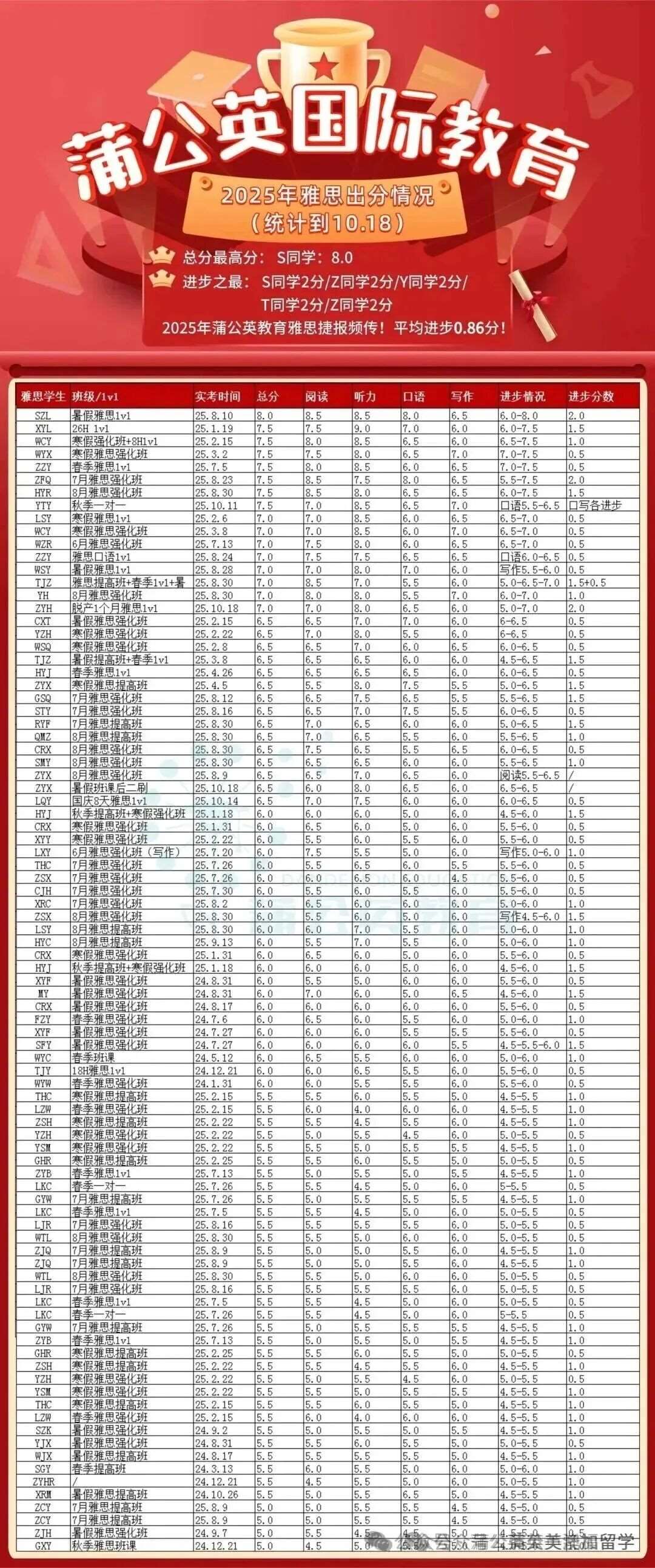
上海雅思培训班推荐!出分效果是家长和学生*关心的核心,更是我们教学实力的直接见证。
我们实行固定师资团队模式(均是10年+授课经验教师),能系统记录每位学员的错题、弱项与轨迹,让这些关键信息精准反哺教学,针对性突破备考难点。


为什么选择蒲公英教育上海雅思寒假班?
02
三维教学体系:从考点拆解到模考冲刺,科学规划全程护航雅思
课程顾问:依托专业入学模拟测评体系,全面剖析学员数与备考周期,量身定制个性化学习方案,系统规划词汇积累、语法夯实、题型突破至真题冲刺的全阶段学习路径,为高效备考提供科学指引。
班主任老师:构建多方联动的实时反馈机制,通过定期学情沟通、学习进度动态跟踪,精准定位学习难点与瓶颈,及时协调教学资源提供解决方案,全程督导学习节奏,保障学习效率与效果落地。
主授课老师:汇聚上海雅思培训领域教学力量,师资团队平均教龄超 10 年,核心成员均为世界学校海归硕博,深度钻研雅思考情趋势与命题规律,凭借丰富的教学经验与实战技巧,助力学员实现高分突破。
助教老师:经严格筛选,为全能学习助手,提供作业批改、答疑、口语陪练等,保障学习效果。
教研团队:关注考试动态与学员需求,自主研发备考教材、创新课程方案,打磨教案并开展教师培训,保障课堂质量。
配套后续服务:提供全链条增值服务,含全真模考、考位优先预订与优惠、一站式留学规划申请等。
添加蒲公英教研老师微信
第一时间获取
雅思寒假班开课安排
专属限时雅思正课试听名额!
沉浸学习:三线并行,科学教学,保障出分
课程设置
15天沉浸式学习 60小时教学课 90小时辅助练习 结班后40小时模考答疑批改
班型设置 :
上课日期:
立即行动,抢占寒假黄金期!【上海雅思培训班推荐!】
✅ 线上学习打破时空壁垒,完美适配学生 “课程密集、时间碎片化” 的痛点!通勤路上、课间空隙、睡前时段都能利用起来,随时随地开启高效备考,不用再为凑线下班时间奔波~
✅ 在线平台 1:1 复刻雅思官方考试环境,从界面布局到答题计时完全还原,帮你提前熟悉流程、适配答题节奏,考场上告别陌生感,下笔更从容!
✅ 全天候老师专属答疑 + 作文 / 口语批改秒响应!不管是语法难题、题型困惑,还是作文逻辑漏洞、口语表达短板,都能当天清零,不留备考隐患,学习效率直接拉满!
上海雅思培训寒假班蒲公英师资介绍



仅展示部分
蒲公英上海雅思寒假班配套服务
服务体系
服务:超精细化的词汇服务体系:包括做计划,复习,情绪价值陪伴,和良好的校风。另外,课后作业监督检查,结班后5天的模考答疑批改服务。服务水准远超同行。
服务介绍:
每天8:20-21:00,每天4小时正课,6小时辅练。
辅练有专门班主任查单词和作业,以及学术助教答疑和陪练口语写作。
结班后有5套免费模考,以及3次口语写作陪练和批改。
蒲公英上海雅思寒假班收获众多好评


课后服务不断
TEL|13162172398(同V)
详情欢迎联系教研老师咨询~
上海雅思培训班推荐!
名额有限,快来扫码咨询上海蒲公英雅思寒假班吧