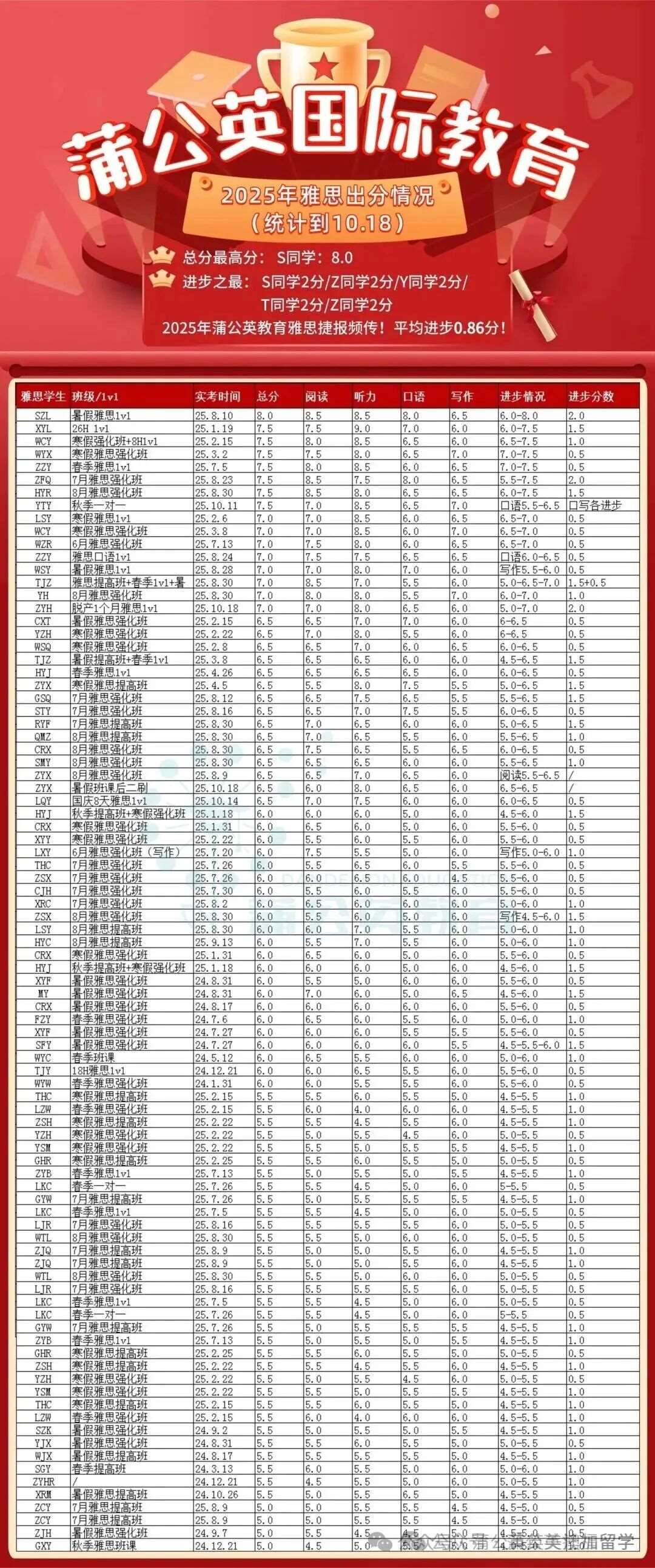
【初高中生】雅思7.0分冲刺:上海蒲公英雅思培训寒假班,寒假集训,高效冲7!
11/13



📚 上海蒲公英雅思培训寒假班设置多样化:
🔹 雅思精品班 🔹 雅思基础班 🔹 雅思提高班 🔹 雅思强化班 🔹 雅思1v1
👇👇👇
26年雅思寒假班优势
精细化教学,沉浸式学习;
定制化出分,陪伴式督学;
一线名师团队,平均教龄10年+;
精品小班授课,学习氛围超赞;
研发标化教材;
一站式模拟考试全过程;
全程优质服务,服务细节可视。
👇👇👇
【上海蒲公英雅思培训寒假班】
扫码咨询老师
vx:15502124668
了解更多雅思课程相关内容
上海蒲公英教育入学测评介绍




上海蒲公英做“每个环节过程的确定性”
服务:
超精细化的词汇服务体系:包括做计划,复习,情绪价值陪伴,和良好的校风。
课后作业监督检查
结班后5天的模考答疑批改服务
服务水准远超同行
蒲公英教育校区环境


小蒲老师VX:yiyima83
手机号:15502124668

