圣诞摆烂=雅思陪跑!圣诞雅思课程集训营报班倒计时,30天6.5+就这波!
圣诞倒计时!你的雅思备考还在“”?圣诞雅思课程集训营报班就选蒲公英,假期的秘籍就在这儿了!
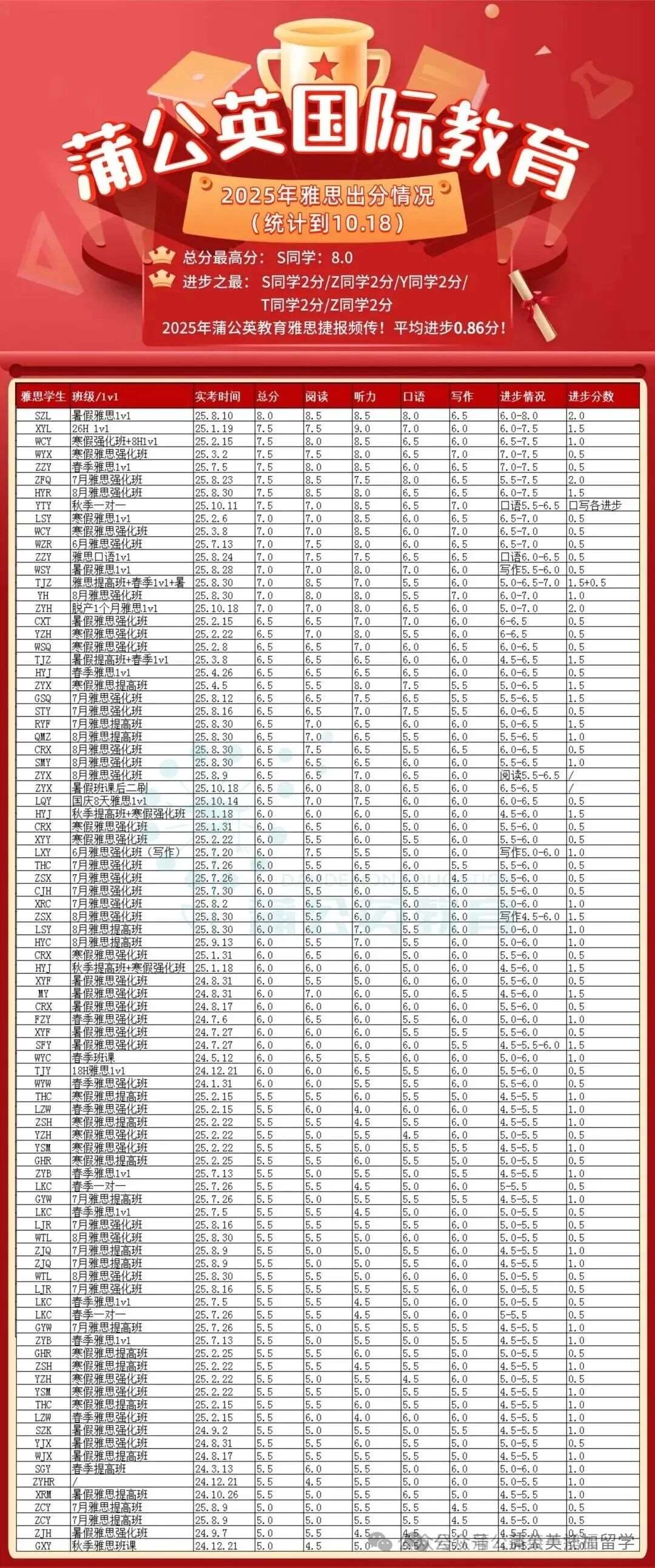
【圣诞雅思课程集训营报班】
别让假期成为*停滞的借口!蒲公英「圣诞假期雅思冲刺营」火热开营——拒绝低效刷题,告别盲目备考,我们用专业教研团队打造的针对性课程、高效技巧拆解、实时答疑指导,帮你把圣诞假期变成雅思的“黄金期”!
无论你是卡在写作逻辑、听力漏点,还是口语表达没思路,在这里都能找到精准解决方案,全力冲刺目标分数,实现雅思*的华丽蜕变,为留学申请提前抢占优势!
入学时,课程导师会通过精准水平测试+深入能力分析,从词汇、阅读、听力三大维度精准诊断你每个单项的失分根源。

你的雅思课程表,将完全围绕你的“专属痛点”展开,拒绝“大锅饭”式教学,确保每一分钟都用在“刀刃上”——词汇弱就针对性攻坚高频词、阅读慢就专项训练提速技巧、听力懵就拆解场景出题逻辑,让路径清晰可见!
冲刺阶段,蒲公英资深雅思老师将与你面对面(或线对线),开展高密度、强互动的实战教学:
✔ 听力薄弱——精听+速记技巧强化
✔ 口语卡壳——高频题库+实战演练
✔ 阅读速度慢——长难句解析+快速定位
✔ 写作逻辑差——模板优化+高分范文精析
蒲公英雅思师资组
✦
•
✦
✦
左右滑动,查看更多
✦
+v:P15502147668
从知识输入、技巧讲解到模考输出,形成“学习—实践—反馈—优化”的完整闭环。

更有主讲老师+班主任24小时答疑,学习问题当天解决不拖沓!督学老师在群内及时反馈学习进度,让你对自己的备考节奏了如指掌。

我们的目标不仅是提升你的英语能力,更是帮你在考前将生物钟和思维状态调整到*佳,确保你在考场上稳定发挥,和雅思成功分手!
现在双11狂欢季,这些福利“课”不容错过!

上海蒲公英教育






滚动开班!
👇扫码添加资深教研老师👇
个性化备考规划
+vx:P15502147668





