上海蒲公英教育

【上海雅思培训机构哪家好?】15天雅思突破2分?!上海徐汇「魔鬼雅思集训班」马上开班,雅思高分就现在!早鸟价立享千元优惠

11/09

上海雅思培训机构哪家好?魔都上海初高家长 & 雅思考生注意!15天雅思狂……不是梦!上海徐汇蒲公英国际教育「魔鬼雅思集训班」重磅开班倒计时!


还在为雅思分数卡瓶颈焦虑?想短时间冲刺目标分、抢占留学申请先机?这款专为初高中生量身打造的雅思线下集训班,用沉浸式闭环教学、针对性方案,打破 “雅思慢” 的魔咒!从雅思听力高频考点拆解到雅思写作逻辑重构,从雅思口语流利度训练到雅思阅读速解技巧,全维度攻克薄弱项,15天实现雅思分数跨越式提升!


现在,请扫描下方二维码报名雅思课程锁定早鸟价,立省千元优惠!名额有限,先到先得!

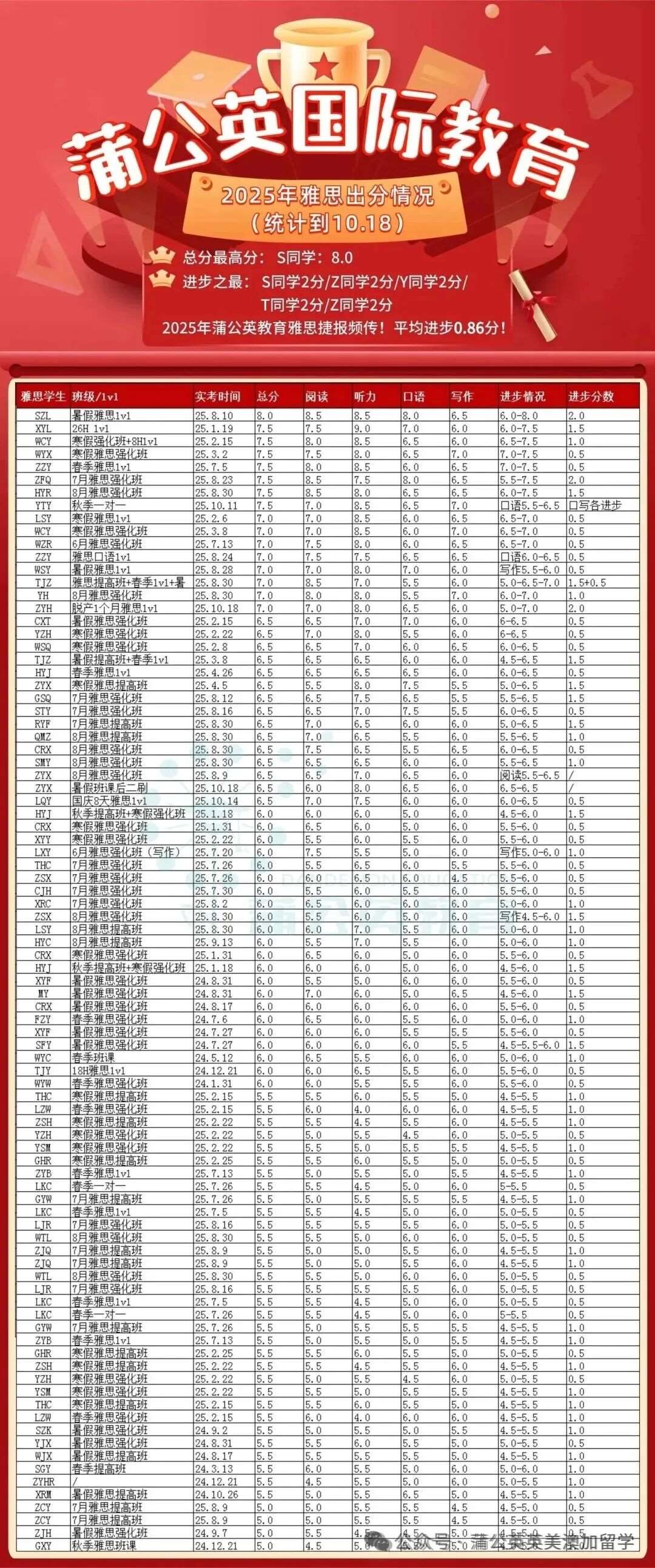
出分是雅思机构的核心竞争力,更是学员选择与信任的根本!


蒲公英总分*高分:S同学:8.0

进步之最:S……/Z……/Y……/T……/2……

2025年蒲公英教育雅思捷报频传!









 为什么选择15天雅思封闭集训班? 




🔥【15天颠覆传统备考!】告别3-6个月低效拉锯战

传统雅思备考动辄3-6个月,拖延症+碎片成难题!15天沉浸式高强度训练,精准锁定核心考点,彻底打破低效循环。

📈 公式实证:1.5-2分涨分肉眼可见!
蒲公英学员数据显示:科学拆分雅思听说读写模块,每日专项突破 + 高频雅思考试模考 + 错题深度复盘,*高雅思2分!

⏰ 寒假超车黄金期:15天锁死目标分!
趁寒假避开学业干扰,集中15天冲刺备考,开学前稳拿雅思理想分数,抢占留学申请先机!

✨ 特别针对体制内学生:
中考 / 高考生可参加雅思基础班 ——90%知识点与高考长难句语法重合,在提升英语能力的同时,为高考英语夯实基础!




 上海雅思培训机构哪家好?一蒲公英雅思课表





上海雅思培训机构哪家好?接下来和大家分别介绍一下上海线下初高中生雅思培训:蒲公英雅思基础班与雅思提高班的区别:




 雅思封闭班之基础班 




适合学生:基础较为薄弱,初高中词汇,阅读听力<4.5分


课程说明

打基础为主,助力学生强化英语语言综合能力,重点提升雅思听说读写基础技能

授课特色

注重基础技能强化,采用循序渐进的方式,结合个性化辅导和情境模拟

授课语言

中英文双语

课时安排

60H正课(理论讲解)+90H辅练课

课后学习&服务

  • 每日科学制定学习计划,精准明确当日目标

  • 每日开展真题训练讲解,进行个性化答疑讨论,实时跟踪学生进度

  • 每日全面总结学习收获,规范填写学习日志

  • 学习效果清晰直观可见,每日具体量化呈现





 雅思封闭班之提高班 




适合学生:阅听双4.5-5.5分


课程说明

帮助学生系统拆解雅思各类题型,进一步实现*跃升

授课特色

注重技巧提升,采用循序渐进的方式,结合个性化辅导和情境模拟

授课语言

中英文双语

课时安排

60H正课(理论讲解)+90H辅练课、结班后模考答疑批改40H

课后学习&服务

  • 每日科学制定学习计划,精准明确当日目标

  • 每日开展真题训练讲解,进行个性化答疑讨论,实时跟踪学生进度

  • 每日全面总结学习收获,规范填写学习日志

  • 学习效果清晰直观可见,每日具体量化呈现





 上海雅思培训机构哪家好?—蒲公英师资介绍 




仅展示部分




 上海雅思培训机构哪家好?—蒲公英配套服务 






实战模考体系

真题练习:每日精研真题 + 模拟题,覆盖全题型。

全真模考:每周还原考场实景,严格计时评分。




定制化辅导

1V1答疑:每晚专属时段,教师针对薄弱点深度解析,扫清盲区。

小组合作:分组拆解真题逻辑,同伴互助+教师指导。




数据化管理,学习效果可视化

动态测评:通过每日训练+周度模考生成进步曲线,定位薄弱环节。

学习日记:每日记录复盘,教师批注建议,形成个性化方案。

家校协同:每周家长开放日,同步报告 + 面对面沟通。




全维度服务,备考无忧护航

机构学习环境舒适与优良校风:舒适学习空间+浓厚学习氛围,提升学习效率。

安全保障:24小时后勤+医疗应急,解决后顾之忧。

全面的学习资料:内部教材+真题汇编+模拟题库,一站式备考。


TEL|13162172398(同V)

上海雅思培训机构哪家好?

蒲公英机构

上海线下初高中生雅思培训班火热报名中

名额有限,快来扫码咨询雅思培训班吧

上海蒲公英教育

详情
每个孩子都是一颗待飞的种子
咨询电话:
17317810013
点击拨打
校区地址:
徐汇区零陵路899号飞洲国际大厦20楼