雅思小白必看!2025年雅思考试时间、费用明细及超实用注意事项汇总!附上海蒲公英教育雅思寒假班招生中
雅思小白必看!2025年雅思考试时间、费用明细及超实用注意事项汇总!
此外,上海蒲公英机构雅思寒假班正在火爆招生中,在2025年的寒假,跟随业内标化大神郭松坡博士团队科学高效的雅思课程,带你轻松冲刺雅思7分+!
2025年雅思考试时间
费用明细及超实用注意事项汇总!
以下是对“2025年雅思考试时间、费用明细及超实用注意事项汇总!”内容的解读:


黄金考试时间规划(附避坑日历)
🌟 雅思推荐报考时段:7-8 月暑假、12 月圣诞月
长假可集中精力备考,避开日常学业、琐事干扰,备考效率直接翻倍。 与海外院校招生高峰期高度契合,出分后能无缝衔接申请流程,不耽误时间。 据考生普遍反馈,此时段题库稳定性更强,备考方向更明确,无需应对频繁变动。
🚫 雅思报考雷区时段,建议避开!
1 月 / 5 月 / 9 月(换题季):雅思口语、写作题库更新超 50%,旧题大量下线、新题集中上线,前期准备的备考素材时效性骤降,备考难度陡增。 3 月 / 6 月 / 9 月(难题高频期):阅读、听力板块难度系数明显升高,对考生临场反应、解题速度的要求更高,容易拉低分数。 周四场次:对比其他考试日期,该场次整体难度波动较大,分数稳定性难以保障,需谨慎选择。
合理规划考试时间,能让备考少走弯路,出分更有把握哦!
*查询时效:
笔试:考后 13 天出分✔️ 机考:考后 3 天极速出分✔️
2025 报考费用明细(附省钱 Tips)
💡 省钱技巧:机考场次费用与纸笔相同,但考位释放更灵活,可蹲守临时退考名额
报考必看注意事项
抢位策略:
纸笔考需提前 12 天截止报名,机考提前 3 天,建议用官方 APP 设置报名提醒 北上广深等热门考点需提前 2-3 个月锁定,三四线城市考位相对充裕 地区差异:
香港 / 澳门考场费用约 2000 港币(约 ¥1850),但需额外承担差旅成本 东南亚考场(如泰国)存在压分传闻,谨慎选择
📌 建议:用「考试时间倒推法」制定计划 —— 若目标 2025 年 9 月入学,最晚需在 6 月前完成首考,预留 2-3 次刷分空间。关注蒲公英英美澳加留学公众号,获取实时考位动态,避开报考坑!
以上是对“2025年雅思考试时间、费用明细及超实用注意事项汇总!”内容的解读。
雅思课程培训辅导,长按扫码
备注“雅思”,在线咨询


郭博士亲自测试规划,需要请加微信预约!
徐汇飞洲校区:徐汇区零陵路899号飞洲国际大厦20楼G座
地铁1/4号线上海体育馆站一号口B1直达

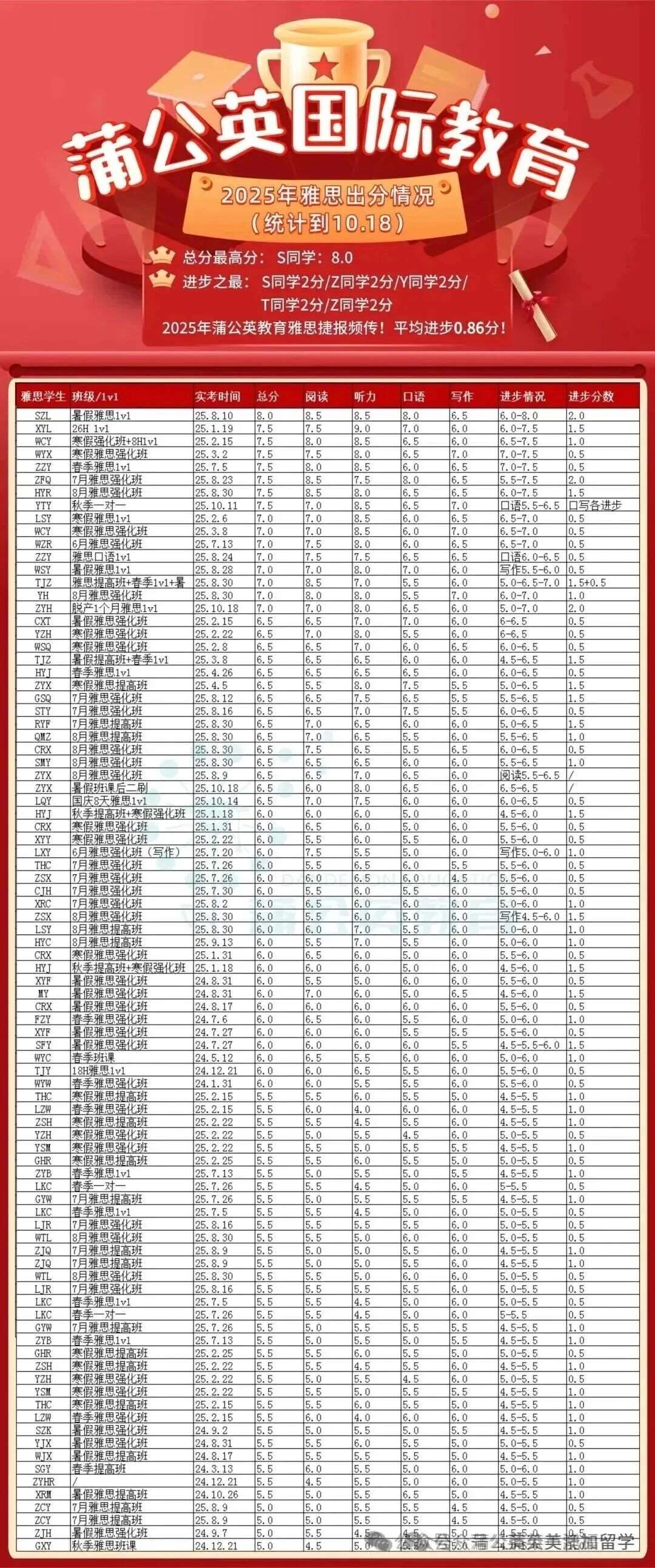
上海蒲公英雅思部分高分学员展示

上海蒲公英雅思课程培训机构招生
以下是蒲公英教育寒假雅思培训班详细安排:
班型设置:
雅思基础班、雅思提高班、雅思强化班、雅思一对一
报名提醒:
课程资源珍贵,每期班课名额有限,先到先得,招满即止!
老学员报名可享额外优惠叠加福利!
如需咨询,欢迎随时私信;也欢迎将课程信息推荐给有需要的家长和同学~

服务:超精细化的词汇服务体系:包括做计划,复习,情绪价值陪伴,和良好的校风。另外,课后作业监督检查,结班后5天的模考答疑批改服务。服务水准远超同行。
服务介绍:
每天8:20-21:00,每天4小时正课,6小时辅练。
辅练有专门班主任查单词和作业,以及学术助教答疑和陪练口语写作。
结班后有5套免费模考,以及3次口语写作陪练和批改。

课程好评不断
蒲公英部分师资介绍



仅展示部分
TEL|13162172398(同V)
蒲公英机构
上海线下初高中生雅思寒假班火热报名中
名额有限,快来扫码咨询雅思寒假班吧