雅思有必要上一对一吗?上海雅思一对一线上线下如何选择?报班不花冤枉钱!
雅思课程培训班多少钱?上海雅思一对一选哪家?想报上海雅思一对一培训,却被一堆问题困住:哪家快?师资够不够硬?费用划算吗?
不用再反复对比纠结,综合教学实力、效果和学员口碑,上海蒲公英教育是你的优选答案。
【上海雅思一对一】
对备考时间紧张的考生来说,“高效”是核心诉求。上海蒲公英教育精准踩中考生痛点,打造了一套直击分数的教学体系——
既有考前押题班聚焦考情预测,帮你摸清出题规律、缓解冲刺焦虑;
更有高强度集训课程实现,数据显示,学员平均一期课就能……,让每一分投入都能看到回报。
无论是想突击刷分的国际高中生,还是赶申请截止日期的留学生,都能在这里找到适配的方案,告别盲目刷题的无效内耗。

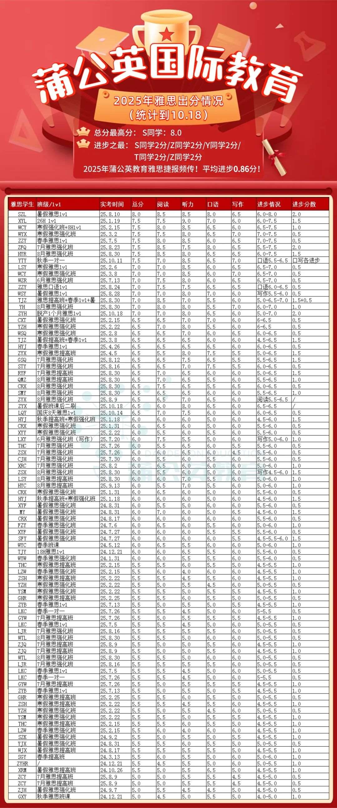
(蒲公英部分优秀学员*单)
好口碑从来不是靠宣传堆出来的,而是扎实的师资做支撑。上海蒲公英教育的师资力量:硕士学历+100%10多年教龄,每位教师都经过层层考核,教学经验与学术背景双重在线。
不同于流水线式教学,这里的老师更懂雅思备考的“痛点”与“考点”,能精准捕捉学员的知识盲区,用“讲一题通一类”的深度讲解模式,帮你掌握同类题型的解题逻辑,从根本上提升应试能力。多年来积累的良好口碑,正是学员对师资实力的*佳认可。
✦
•
✦
✦
左右滑动,查看更多
✦
+v:P15502147668
考虑到不同考生的时间安排,上海蒲公英教育提供线上线下双模式,让学习不受场景限制。

依托成熟的一对一教学系统,通过智能模考和大数据分析,精准定位你听力、阅读、写作、口语各单项的薄弱点,量身定制教学方案。
国际高中生利用课后时间补充,在职考生碎片化提升,都能灵活适配,教师还会根据学习进度动态调整内容,确保每节课都聚焦核心问题。


主打“高强度训练+精细化服务”,为学员制定每日8-10小时的科学学习计划,覆盖知识点讲解、真题演练、错题复盘全环节。
搭配庞大的雅思真题数据库,教师能精准把握考试趋势;多对一服务群24小时响应疑问,全程跟进学习状态,及时调整复习计划,全方位保障效果。

雅思一对一课程费用虽受班型、时长影响,但上海蒲公英教育始终以“高性价比”为原则,让优质教学不再高价。与其纠结模糊的价格区间,不如直接咨询,获取专属课程报价,让每一笔备考投入都花在刀刃上。
蒲公英双11狂欢季持续至11月30日!雅思早鸟价福利“课”不容缓!
另外,蒲公英也有雅思3-8人小班课可以选择哦~


雅思备考不用孤军奋战,上海蒲公英教育用专业师资、精准教学和灵活服务,帮你少走弯路、高效。现在咨询,开启你的雅思高分之路!
— 蒲公英雅思培训课程—
👇扫码添加资深教研老师👇
个性化备考规划
+vx:P15502147668





