速存!2025年11-12月雅思考试时间表汇总!含A/G类截止日期+完整报名攻略!附上海蒲公英雅思寒假培训班招生指南
此外,上海蒲公英机构雅思寒假班(线下课程/线上课程)正在火爆招生中,在2025年的寒假,跟随业内标化大神郭松坡博士团队科学高效的雅思课程,带你轻松冲刺雅思7分+!
☝🏻扫描上方二维码添加蒲公英资深教研老师☝🏻
咨询雅思课程获【1V1雅思备考规划】
关注公众号↑,回复关键词免费领取资料
回复【真题】获取《剑桥雅思4-20》完整版PDF+音频
回复【题库】获取9-12月雅思口语神奇题库
回复【写作】获取69篇Simon作文满分模板
回复【备考】获取雅思备考计划表
回复【书籍】获取雅思必备书籍
回复【阅读】获取全套阅读资料
回复【语料】获取雅思语料库
回复【同义替换词】获取雅思阅读同义替换词
以下是对“速存!2025年11-12月雅思考试时间表汇总!含A/G类截止日期+完整报名攻略!”内容的解读:

中国大陆地区10-12月雅思机考场次安排


报名截止日期
)
01
(上下滑动 查看)
中国大陆地区10-12月雅思纸笔考试场次安排


报名截止日期、准考证打印日期和*单寄送日期

解锁寒假雅思优惠
6-8人小班
10-15年教学经验 雅思老师全职授课
扫码添加蒲公英小助手微信
备注【雅思】
解锁双十一狂欢季优惠立享95折
雅思报考步骤
一、报考 6 步走
- 注册用户
:登录雅思官网报名系统,注册后务必牢记 NEEA 用户名和密码,后续查分、打印准考证都要用。 - 预付费用
:选择要考的考试类型(如普通雅思、UKVI 雅思),预付对应费用。 - 预定考位
:选好考点、考试日期和考试类别(A 类 / G 类),确认后锁定名额。 - 填写报名表
:预定考位后 30 分钟内必须完成填写,超时名额会失效;重点核对姓名、证件号等信息,错了难修改。 - 确定费用
:确认报名信息无误后,点击支付,费用会从预存账户中扣除。 - 完成报名
:报名成功后会收到确认邮件;退考或转考要在报名截止日期前办理;笔试前 10 天,会收到准考证打印通知,从 “我的主页” 打印即可。
二、报考必看注意事项
- 截止时间
:纸笔考试需提前至少 12 天报名,机考提前 3 天;热门城市考位可能提前 1 个月满额,别等最后一刻。 - 考试形式选对
笔考:适合习惯传统答题的考生,全年约 40 场周六考试,时间固定。 机考:场次多(每周多次)、出分快(3-5 天),适合急需*的考生(如赶申请截止日)。
雅思考试费用
如果不知道怎么规划备考,或是卡在某个分数段难以突破,也可以考虑寻求蒲公英国际教育专业雅思老师的帮助。个性化雅思学习方案、10年+授课经验老师教学、高质量雅思课程搭配全程助教老师督学,能更精准地解决问题,助力高效冲雅思7上岸。
雅思课程培训辅导,长按扫码
备注“雅思”,在线咨询


郭博士亲自测试规划,需要请加微信预约!
徐汇飞洲校区:徐汇区零陵路899号飞洲国际大厦20楼G座
地铁1/4号线上海体育馆站一号口B1直达
以上是对“速存!2025年11-12月雅思考试时间表汇总!含A/G类截止日期+完整报名攻略!”内容的解读。

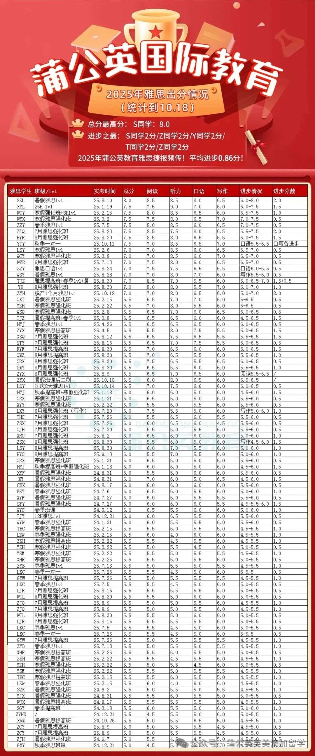
上海蒲公英雅思部分高分学员展示

上海蒲公英雅思课程培训机构招生
以下是蒲公英教育雅思寒假培训班详细安排:
班型设置:
雅思基础班、雅思提高班、雅思强化班、雅思一对一
报名提醒:
课程资源珍贵,每期班课名额有限,先到先得,招满即止!
老学员报名可享额外优惠叠加福利!
如需咨询,欢迎随时私信;也欢迎将课程信息推荐给有需要的家长和同学~
蒲公英部分师资介绍



仅展示部分
TEL|13162172398(同V)
2025年11-12月雅思考试时间
蒲公英机构
上海线下初高中生雅思寒假班火热报名中
名额有限,快来扫码咨询雅思寒假班吧
