轻松上岸雅思7.5!2025雅思资料免费分享!雅思词汇词根+联想记忆法乱序版汇总【电子版PDF高清】
重磅更新~轻松上岸雅思7.5!2025雅思资料免费分享!雅思词汇词根+联想记忆法乱序版汇总来啦~

2025雅思资料免费分享!

快速浏览与定位:
雅思阅读篇幅长、信息多,充足词汇能助考生快速抓住主旨、精准定位答案。例如看到 “anthropology(人类学)”,可判断文章方向,更有针对性地找信息。
理解复杂句式与逻辑:
阅读中复杂句式和因果、转折等逻辑常见,丰富词汇能帮考生分析句子结构、理清逻辑,如 “nevertheless(然而)”“therefore(因此)” 等词,可助把握文章脉络与含义。

丰富表达维度:
充足的词汇量能打破口语表达的单薄感,让话语更流畅饱满。比如描述人物时,若不用 “nice”“kind” 等基础词,转而用 “charismatic(富有魅力的)”“compassionate(满怀同情心的)” 等精准表达,人物形象便会在话语中鲜活起来,仿佛跃然眼前。
提升交流质感:
口语互动中,精准用词是避免误解的 “润滑剂”,能让考生与考官的沟通如行云流水。而适时加入 “a piece of cake(小菜一碟)”“break a leg(祝你好运)” 等习语俚语,更能为语言注入鲜活趣味与感染力,如同给交流添上一抹亮色,让表达既亲切又有张力,显著提升沟通效果。

理解听力内容的根基:
雅思听力覆盖日常对话、学术讲座等多元话题与场景,而充足的词汇量正是精准捕捉材料中关键词、关键句的前提,能帮助考生筑牢理解整体内容的基础。试想,若在涉及学术研究的听力片段中,考生对 “hypothesis(假设)”“methodology(方法论)” 等专业词汇感到陌生,便很难深入领会研究的具体内容与过程。
提升答题精准度:
听力题目中,选项与题干常对原文进行同义转换。只有具备扎实的词汇储备,考生才能敏锐识别这类替换,进而准确作答。例如,原文中的 “a large number of”,选项可能以 “a great many” 呈现,若考生不了解二者均表示 “大量的”,就极易陷入误选的陷阱。

精准传递观点:
在雅思写作中,清晰且准确地输出观点离不开丰富词汇的支撑。它能帮考生跳出用词重复的窠臼,让表达既精准又鲜活。比如想描述 “重要的” 这一概念,除了基础的 “important”,还能选用 “crucial”“vital”“significant” 等词汇,让文章的表达更富层次感与表现力。
拔高文章水准:
在写作中运用多样词汇,尤其是高级词汇和固定搭配,如同为文章注入优质基因,能显著提升其质量与档次,充分彰显考生的语言功底,为高分助力。像 “in light of(鉴于)”“on the contrary(相反)” 这类短语的恰当使用,既能让文章逻辑更清晰,又能使语言更贴近母语表达习惯,尽显地道风范。





2025雅思资料免费分享~
扫码+小助手回复【雅思词汇】免费领取资料

2025雅思资料免费分享

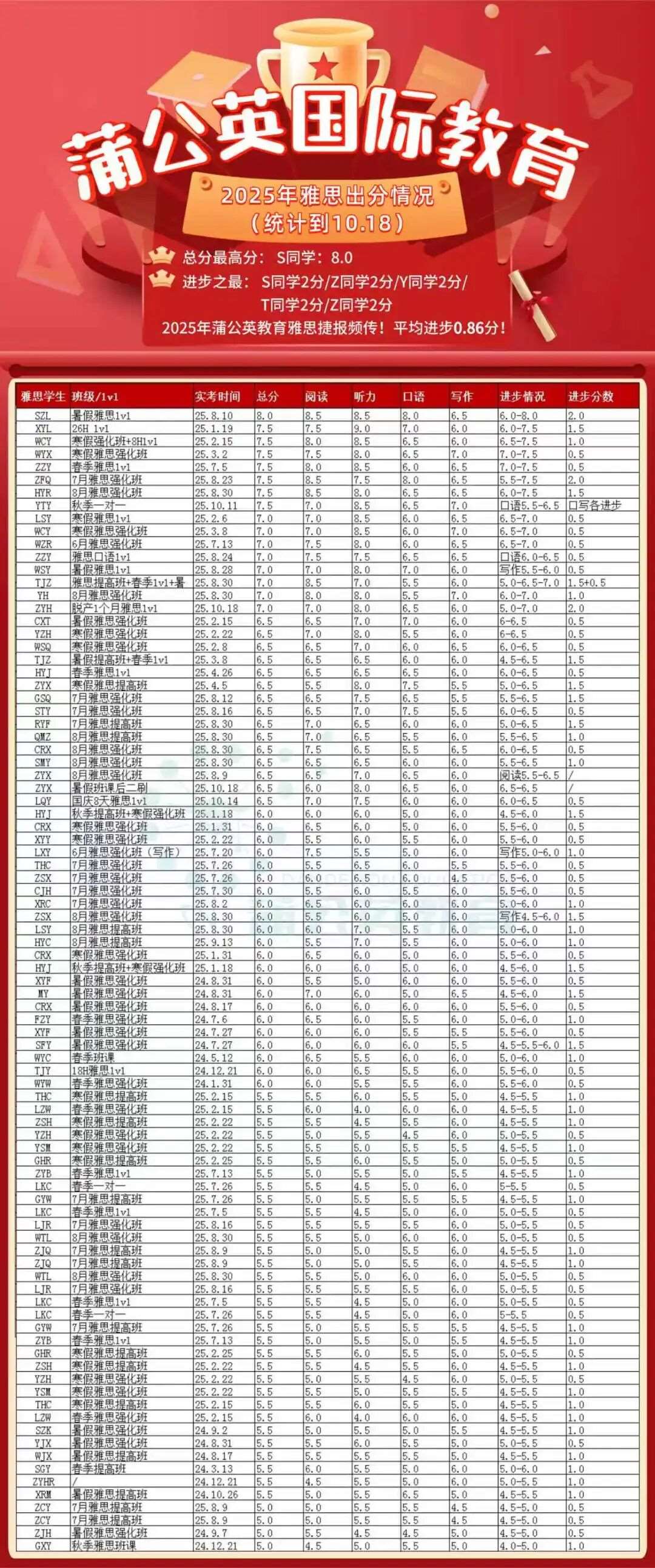
上海蒲公英雅思部分高分学员展示

上海蒲公英雅思课程培训机构招生
以下是蒲公英教育寒假雅思培训班详细安排:
班型设置:
雅思基础班、雅思提高班、雅思强化班、雅思一对一
报名提醒:
课程资源珍贵,每期班课名额有限,先到先得,招满即止!
老学员报名可享额外优惠叠加福利!
如需咨询,欢迎随时私信;也欢迎将课程信息推荐给有需要的家长和同学~
TEL|13162172398(同V)
蒲公英教育
上海线下初高中生雅思寒假班火热报名中
名额有限,快来扫码咨询雅思寒假班吧