上海蒲公英教育

关于上海蒲公英国际教育——雅思课程介绍

12/19

教育是一棵树摇动另一棵树

一朵云推动另一朵云

教师是从各个方面

唤醒和启发孩子的优势和潜能

上海蒲公英国际教育雅思寒假&春季课程,线上/线下班全年招生,滚动开班!15年标化培训师郭博士采用科学量化督导体系带你冲雅思8+!

上海蒲公英国际教育
蒲公英简介


01

上海蒲公英国际教育致力于为国内的中学生海外学习提供所需的标准化学术水平考试、语言能力考试、考试、以及竞赛培训,主要包括SAT、ACT、托福、雅思和小托福等;AL、AP和IB培训;各种竞赛培训以及UCB学术夏校项目

学校愿景:

全方位为您的孩子提供一体化留学服务

核心竞争力:

*靠谱的结果交付


上海蒲公英国际教育
蒲公英创始人介绍


02
      图片



      上海蒲公英国际教育
      蒲公英品牌优势


      03

      (1)高超的教体系

      从输入 ( 阅读、听力、语法、科学或数学 ) 到输出 ( 口语或写作 ),  蒲公英有着一套科学、严谨、化繁为简的教学体系:

      • 课前需要准备哪些前置知识,每个班需要背诵哪些针对性词表,每一节课每5分钟讲解哪些知识点大纲;

      • 课中布置哪些针对性练习,如何进行错题分析;

      • 课后如何督促答疑,结课后如何系统性模考,蒲公英都做到了标准化和量化。


      同时,郭松坡博士还带领团队独创了雅思“逻辑链”输出 ( 口语和写作 ) 教学体系:

      体系化培养您孩子的逻辑思维方式,超级句式多样化设置,以及语言的合规表达及多变 ( 语法和语言 )。这个输出体系,是由郭松坡博士团队根据多年教学经验精心设计的, 可以让您的孩子练习量更少,但有着更高效的刻意练习,进而达到事半功倍的效果。

      可以说,短期内您孩子的输出水平不一定提高太多 ( 当然,长期按照这个体系训练也可以大幅提高 ), 但是您孩子的口语或写作分数可以大幅度提高。


      2)超丰富教学资料

      工欲善其事,必先利其器,蒲公英拥有全国的教学资料。雅思全部已经实现了机考界面,可以供孩子*好的适应性电脑模考训练。


      (3)正规出版物

      郭松坡博士出版了8本国外考试书籍,《托福与雅思阅读长难句精讲30天》为全国“第*本”正规出版的该类书籍。


      (4)几千页教研资料

      蒲公英郭松坡博士还录了400多个教学视频,每个视频包括文章结构讲解、长难句翻译、考点标记和选项排除等系统性阅读方法;语法讲解了考点识别,考点知识以及排除技巧。让您的孩子在刷题后再也不用担心没有老师答疑了。

      尤其是雅思口语和写作,系统性整理了所有过去5年约500多题的审题思路,总结了8大逻辑链和2大难话题并归类整理融入到课堂以及课后作业里,做到了化繁为简,能让学生轻松掌握思维方法,解决了学生没思路、没话说、不知道写啥的难题

      总之, 郭松坡博士及其团队耗时几万个小时,合计教研的资料高达几千页之多。

      图片


      (5)科学量化和精细化的督导体系

      蒲公英提供“科学量化、精细化”的封闭式管理模式 (8:20-21:00)。扣除吃饭休息2.5小时,每天有长达10个小时的英语学习时间:4小时正课,6小时督导。根据不同的班级,科学分配背单词、做题和分析的时间。

      词汇量低是绝大部分学生学习标化的通病,也是标化路上最难解决的问题。 但是不解决这个问题,孩子的标化不可能学好。语培类考试的核心之一其实主要体现在孩子的单词执行力上。蒲公英的孩子平均每天需要背诵300+复习300个单词,零基础的孩子大概需要花一半的时间在背单词上 ( 约300-400小时 ), 背单词的速度决定了您孩子的进步速度。


      背单词是一个体系化的系统工程:每个班背诵哪本词表 ? 每天分配多少时间背单词 ? 每次布置多少单词 ? 时间节点如何设置 ? 抽查的方式有什么窍门 ? 如何防止学生记顺序 ? 背了忘怎么办?背不好如何惩罚 ? 如何做好学 生的心理疏导 ? 如何构建良好的校风 ?

      蒲公英是全国为数不多提供精细化、系统性单词督导的机构。

      图片

      (6)科学的量化规划体

      家长*喜欢问的问题:孩子上完这个班能不能考到雅思7分? 蒲公英教育郭博士是“全国率先提出量化标化考试时长”的语培老师。

      按照蒲公英的教学管理模式:一个班15天,每天10小时 ,300个单词 +300个复习,针对性的课堂和课后练习,以及考前5天的5套的实战模考,每个周期大概200个小时。

      拒绝焦虑,科学评估出分时长:在雅思7分之前,雅思每进步一分大概需要150小时。经过一个班200小时的培训,雅思一个班进步1-1.5分

      精细化、量化管理的教学模式奠定了蒲公英教育是全国的语言培训机构。

      图片


      上海蒲公英国际教育
      增值服务


      04
      • 全国的测试和学习软件

      • 免费模考测评分析

      • 最新真题下载和视频观看

      • 标化群定期分享语言学习咨询

      • 上门咨询即送书

      • 课后4个月内15次的免费答疑服务

      • 课后4个月内15天的免费督导服务



      上海蒲公英国际教育
      雅思组教学团队


      05

      师资是培训机构的核心竞争力,评价老师的关键从不是光鲜履历,而是实打实的能力和课后责任心。



      上海蒲公英国际教育
      雅思寒假班


      06
      (1)雅思课程
      (2)雅思课程大纲
      (3)雅思考前安排
      (4)雅思课程学习效果



      上海蒲公英国际教育
      雅思高分榜


      07

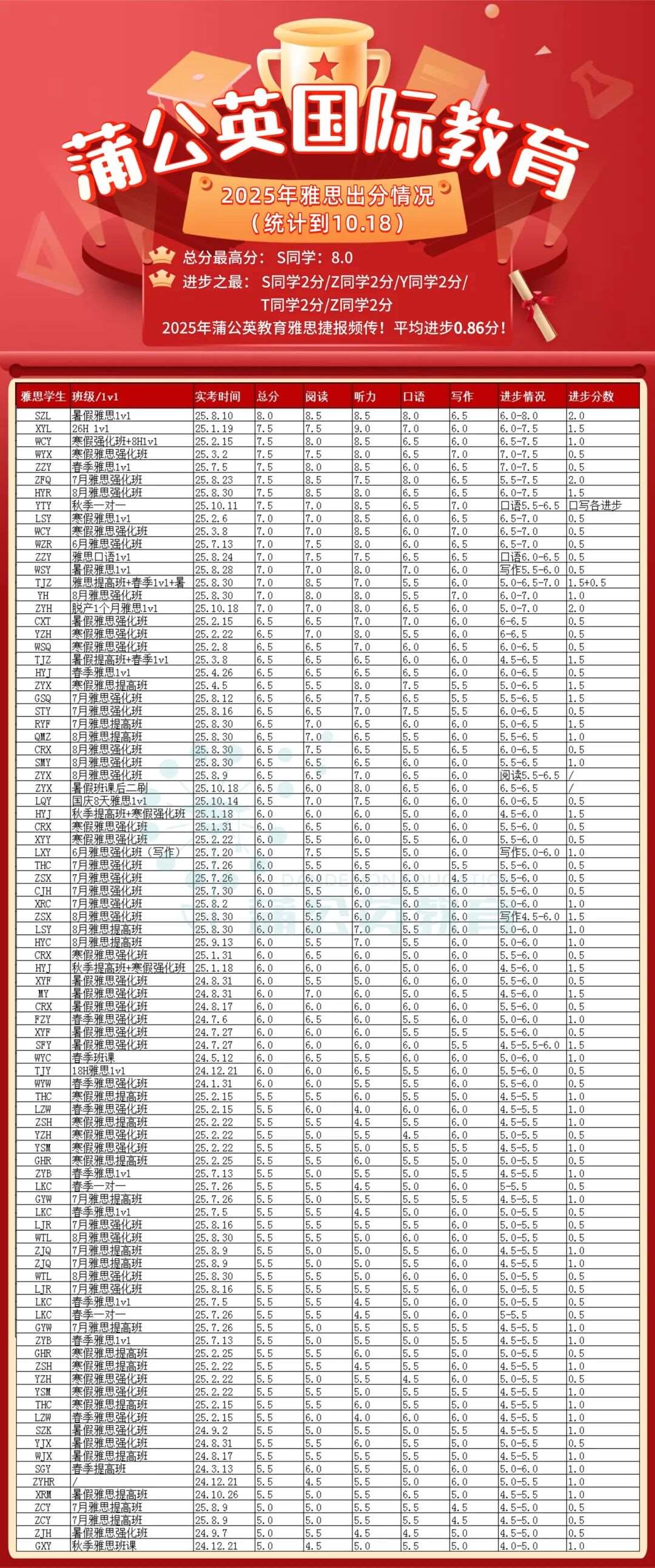
      真实口碑见证:所有学员*与案例均真实可查,不虚构、不夸大,坚信“*是检验教学实力的金标准”!

      备考缺乏反馈,不知如何完善?

      👇解锁大咖1v1基础诊断+备考建议👇

      扫码添加资深教研老师

      打造专属你的雅思学习方案

      图片

      长按识别二维码

      +v:P15502147668

      上海蒲公英教育

      详情
      每个孩子都是一颗待飞的种子
      咨询电话:
      17317810013
      点击拨打
      校区地址:
      徐汇区零陵路899号飞洲国际大厦20楼